广佛喝茶资源,一线天同城平台,上海喝茶外卖微信wx,全国少女空降200全国空降少女app

您好,欢迎进入河南省中原奥起实业有限公司官方网站!

与时俱进,诚赢客户

龙门吊、提梁机、门式起重机生产厂家

服务电话:13782575673

龙门吊百科

您现在所在位置:首页>>起重资讯>>龙门吊百科

龙门吊大车的计算实例

本文链接:http://m.ftbamj.cn/gsxw/540.html???发布时间:2021-03-19 02:33:05??点击量:2016

  龙门吊双小车起重机,主小车*大额定起重量Q1=100t,自重G1x=18.5t,副小车*大额定起重量Q2=50t,自重G2x=5.6t,主小车可以单独吊重工作,也可和副小车均匀抬吊工作,其*大额定起重量=100t,主副小车吊钩中心线的*小距离b=4m,跨度S=33m,起升高度H=24m,工作级别=A5,主、副小车全部采用国产配置,起升和运行速度在此省略参数,设计大车主梁。

  (1)按双小车设计大车主梁

 ?、偃∑鹕寤飨凳?amp;phi;2=1.24,运行冲击系数φ4=1.26;其他相关参数为:[β]=700;[σ]=1.40×105kN/m2;E=2.1×108kN/m2;γ=78.5kN/m3;λ=0.2;α=13;αf=13;初取δ=16+8=24mm。

  ②C1、C2、C3的求值。

  R1=(Φ2ξ1+Φ4G1x)/2=(1.24×1000×0.5+1.26×185)/2=426.6kNR2=(Φ2ξ2+Φ4G2x)/2=(1.24×1000×0.5+1.26×56)/2=345.3kN

  用工程产品设计简化公式

 ?、矍笈斜鹌鹬亓縖Q1+Q2]

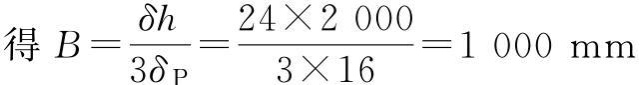
  刚度是控制条件。

  取梁净高h0=2.0m=2000mm

  取腹板净宽B0=1000mm,主梁设置专用走台

  主梁截面设计尺寸见图4-60,省略主梁盖板、腹板加强筋板。

  (2)按单小车设计大车主梁

  ①计算主梁梁高

  主梁采用Q235B材料,主梁梁高计算为

  [Q]

  根据强度控制梁高的公式计算梁高,需先求出K1。

  圆整取hq=2200mm。

 ?、诔醪饺范ㄖ髁航孛婷婊?/p>

  取经济梁高盖板与腹板截面积之比?,上盖板δ3=20mm,下盖板δ4=12mm;

  上盖板的截面积尺寸?

  上盖板的宽度?

  取by=1100mm,作为主腹板和副腹板之间的净宽距离,见图4-61。

  (3)改用Q345-B材料设计主梁截面

  强度为控制条件。

 ?、芮笄慷瓤刂铺跫碌牧焊遠强。

  取梁净高h0=2.1m=2100mm

 ?、萆杓浦髁航孛?。

  取上下盖板的平均厚度为:δP=(δ3+δ4)/2=(20+12)/2=16mm;

  取腹板净宽B0=1050mm,主梁设置专用走台。

  主梁截面设计尺寸见图4-59,省略主梁盖板、腹板加强筋板。

 ?、薷挠肣345-B材料设计主梁截面。
图4-59双小车按Q235材料设计主梁截面图(单位:mm)

图4-59双小车按Q235材料设计主梁截面图(单位:mm)

  刚度是控制条件。

  取梁净高h0=2.0m=2000mm

  取腹板净宽B0=1000mm,主梁设置专用走台。

  主梁截面设计尺寸见图4-62,省略主梁盖板、腹板加强筋板。

  3.结论

  由于篇幅所限,根据大量实践设计数据说明,在同参数情况下,双小车与单小车的主梁截面并不都相等,可能要小,也可能要大。与双小车主副小车的吊距、主副小车的起重量、主梁的材料、主梁结构的工作级别、主副小车的起升冲击系数φ2和运行冲击系数φ4的取值大小有关。无论是双小车的何种工况,都推荐按本章双小车的主梁计算介绍设计。

文章聚合页面:

联系我们

CONTACT US

联系人:徐经理

手机:13782575673

电话:0373-8611375

邮箱:hnzyaqqz@126.com

官网:m.ftbamj.cn

地址:河南长垣起重工业园区华豫大道中段